Saltar al contenido

Attenzione: dal 1/1/2023 l’ASUR cessa di esistere. I contenuti del sito continueranno ad essere validi fino all’attivazione dei nuovi siti delle Aziende Sanitarie Territoriali (AST). La dicitura ancora presente di “Area Vasta” va letta come “AST”.

Ai sensi della L.R. Marche 19/2022 dal 01/01/2023 l'azienda ospedaliera "Ospedali Riuniti Marche Nord" è incorporata nell AST Pesaro Urbino che subentra a tutti gli effetti nell'attività e nei rapporti giuridici attivi e passivi.

5-2025A.L.All.n.1.pdf

5-2025A.L.All.n.1.pdf

Vista en miniatura Subido por Valentina Buccioni, 13/02/25 8:08
Promedio (0 Votos)
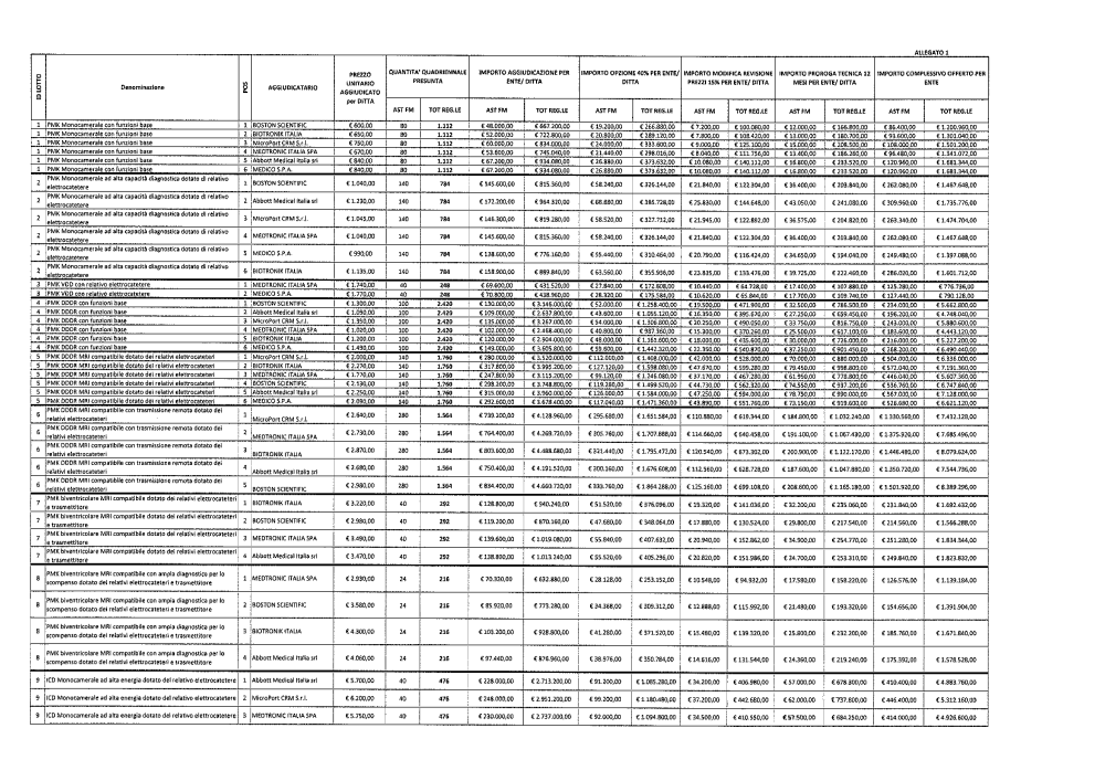
Gara a procedura aperta indetta dall’AST di Ancona per l’affidamento, tramite Accordi Quadro, della fornitura di pacemakers e defibrillatori per le necessità della Regione Marche – n. gara 9153316 – Lotti vari - Adesione Accordi Quadro
1 de 4
Comentarios
No hay ningún comentario aún. Sea usted el primero.

Versión 1.0

Modificado por última vez por Valentina Buccioni
13/02/25 8:08
Estado: Aprobado
Gara a procedura aperta indetta dall’AST di Ancona per l’affidamento, tramite Accordi Quadro, della fornitura di pacemakers e defibrillatori per le necessità della Regione Marche – n. gara 9153316 – Lotti vari - Adesione Accordi Quadro
Descargar (423k) Obtener la URL o la URL WebDAV.
Histórico de versiones
Versión Fecha Tamaño  
1.0 hace 6 Meses 423k
Mission